THÔNG BÁO TUYỂN SINH Lớp bồi dưỡng theo tiêu chuẩn chức danh nghề nghiệp viên chức chuyên ngành Thư viện – Đợt tháng 9 năm 2025 Thông báo 12.09.2025
THÔNG BÁO TUYỂN SINH Lớp bồi dưỡng và cấp chứng chỉ bồi dưỡng theo tiêu chuẩn chức danh nghề nghiệp viên chức thiết bị, thí nghiệm đợt tháng 9 năm 2025 Thông báo 12.09.2025
Thông báo Tuyển sinh lớp bồi dưỡng cấp chứng chỉ bồi dưỡng theo tiêu chuẩn chức danh nghề nghiệp viên chức thiết bị, thí nghiệm đợt tháng 03 năm 2026 10.03.2026 trong Thông báo
Thông báo mở lớp bồi dưỡng khối kiến thức định hướng giáo viên cho sinh viên Trường Đại học Khoa học tháng 03 năm 2026 26.02.2026 trong Thông báo
Thông báo kết quả thi ứng dụng công nghệ thông tin cơ bản đợt thi ngày 14,15,16/01/2026 05.02.2026 trong Thông báo
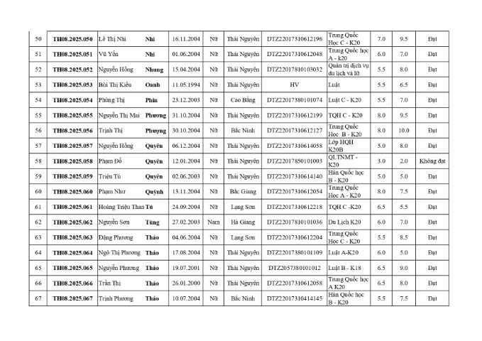
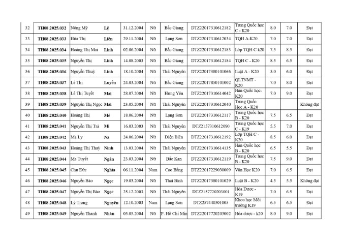
Thông báo điểm thi đánh giá năng lực ngoại ngữ (Tiếng Anh) đợt thi ngày 21/12/2025 05.02.2026 trong Thông báo
Thông báo kết quả thi ứng dụng công nghệ thông tin cơ bản đợt thi ngày 28/12/2025 05.02.2026 trong Thông báo