Thông báo tuyển sinh lớp bồi dưỡng và cấp chứng chỉ bồi dưỡng công tác văn thư cho viên chức kiêm nhiệm trong các cơ sở giáo dục mầm non, phổ thông. Thông báo 24.03.2020
Thông báo tuyển sinh lớp bồi dưỡng nghiệp vụ sư phạm cho người có bằng cử nhân chuyên ngành phù hợp có nguyện vọng trở thành giáo viên Thông báo 23.07.2021
Thông báo Tuyển sinh lớp bồi dưỡng cấp chứng chỉ bồi dưỡng theo tiêu chuẩn chức danh nghề nghiệp viên chức thiết bị, thí nghiệm đợt tháng 03 năm 2026 10.03.2026 trong Thông báo
Thông báo mở lớp bồi dưỡng khối kiến thức định hướng giáo viên cho sinh viên Trường Đại học Khoa học tháng 03 năm 2026 26.02.2026 trong Thông báo
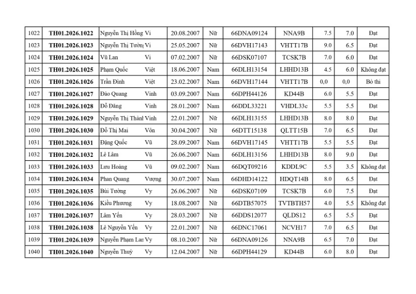
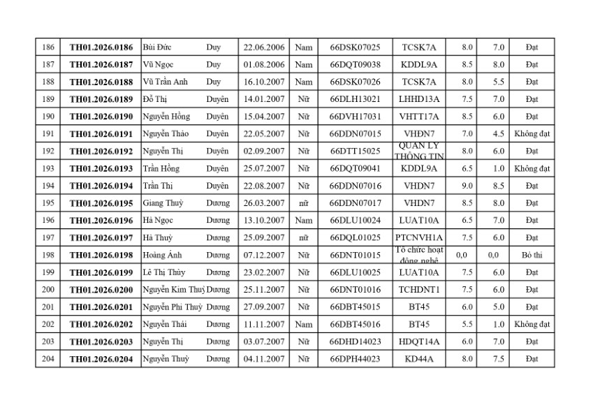
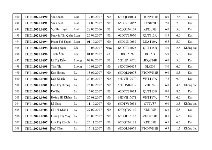
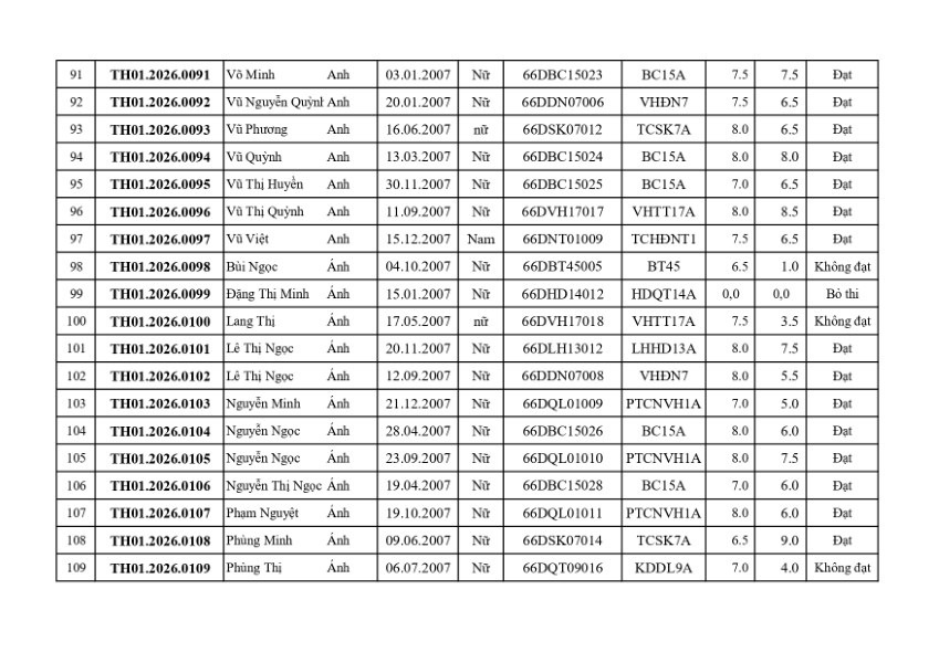
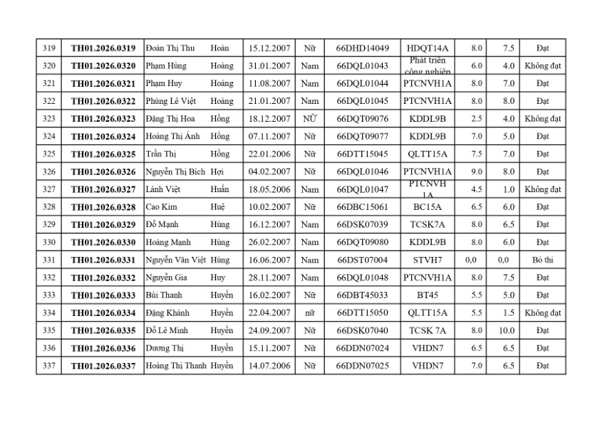
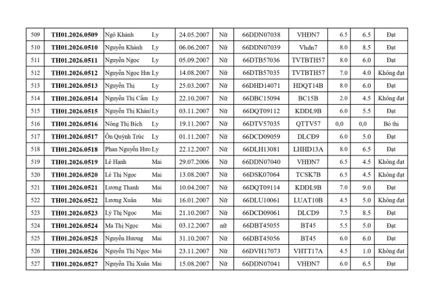
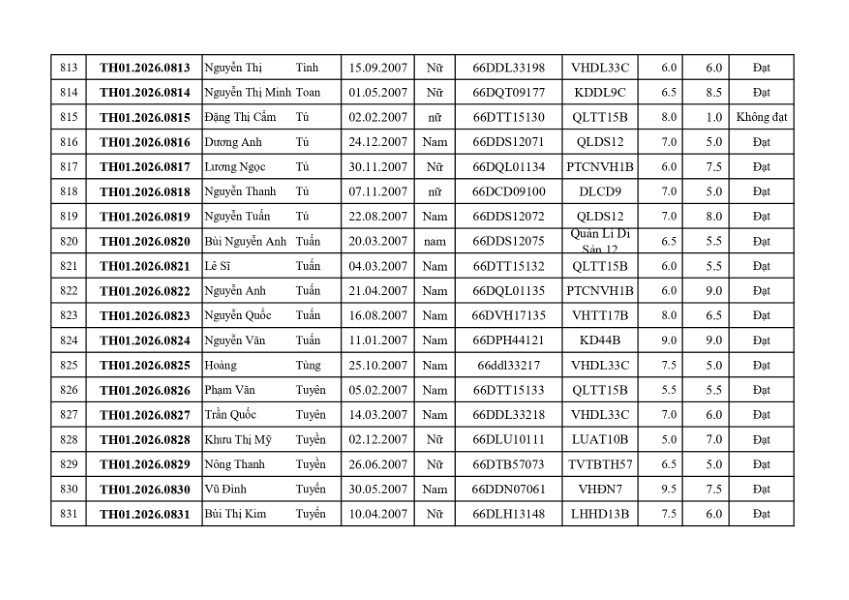
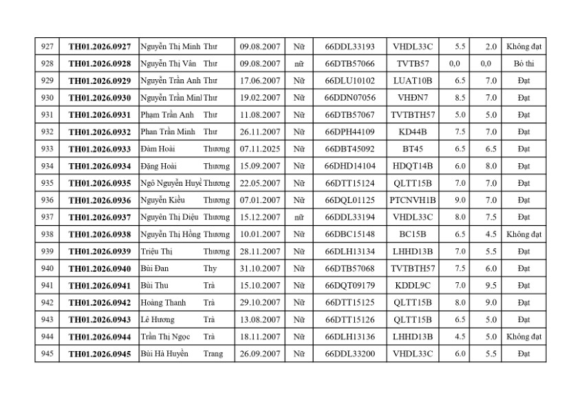
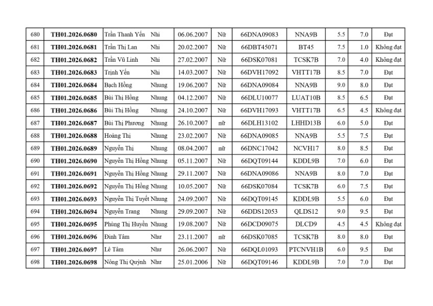
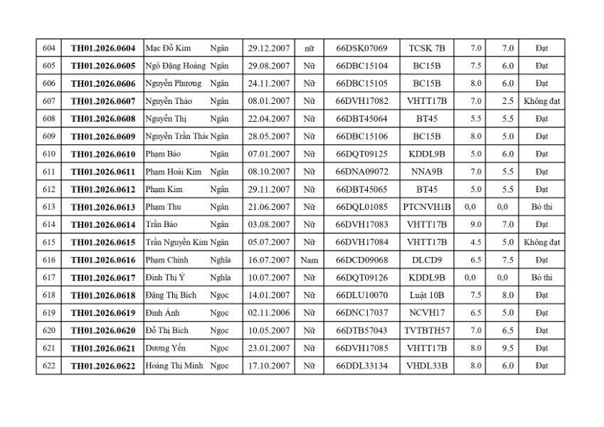
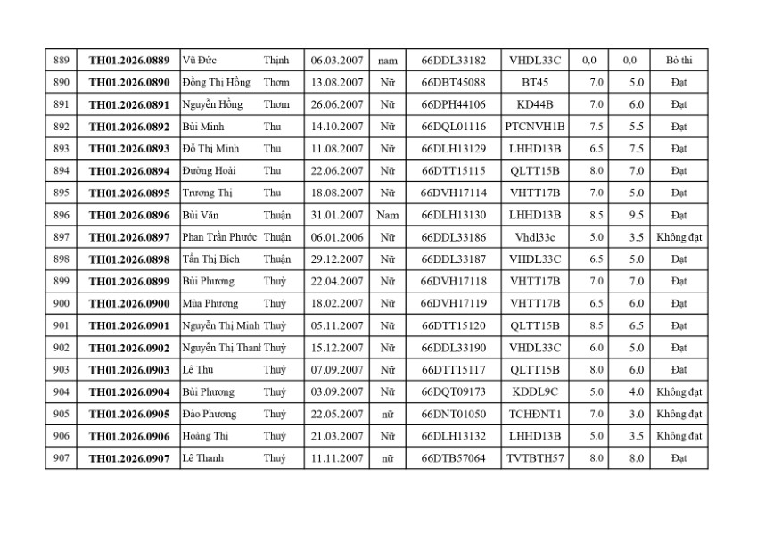
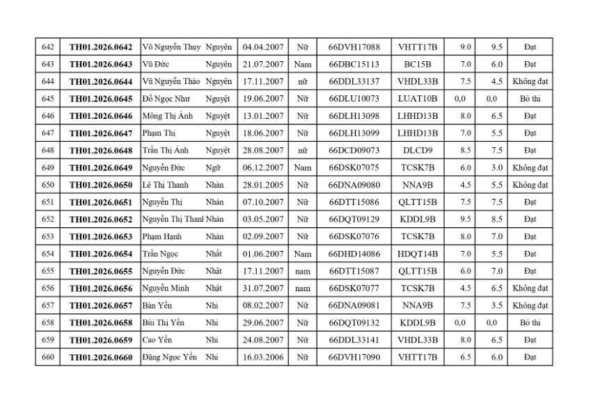
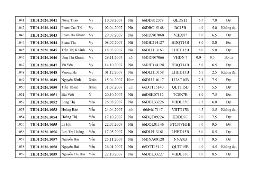
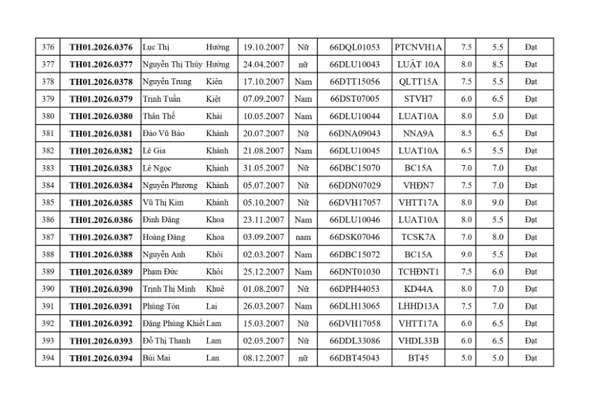
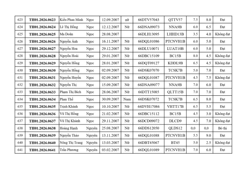
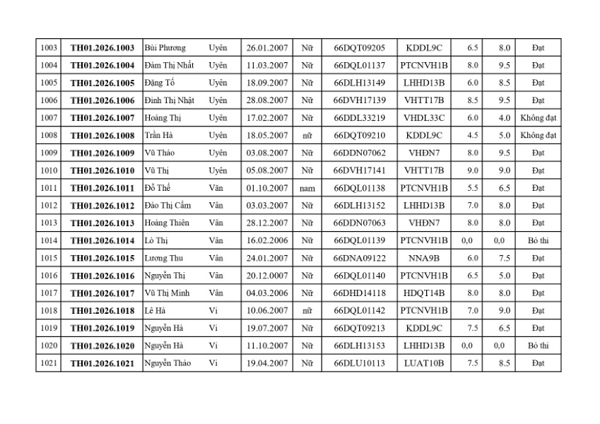
Thông báo kết quả thi ứng dụng công nghệ thông tin cơ bản đợt thi ngày 14,15,16/01/2026 05.02.2026 trong Thông báo
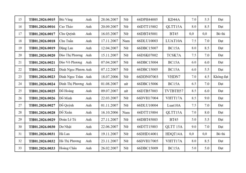
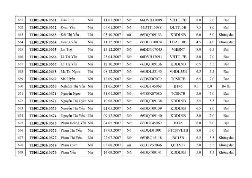
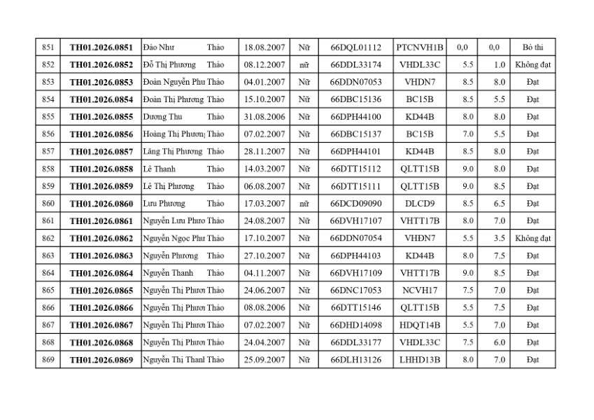
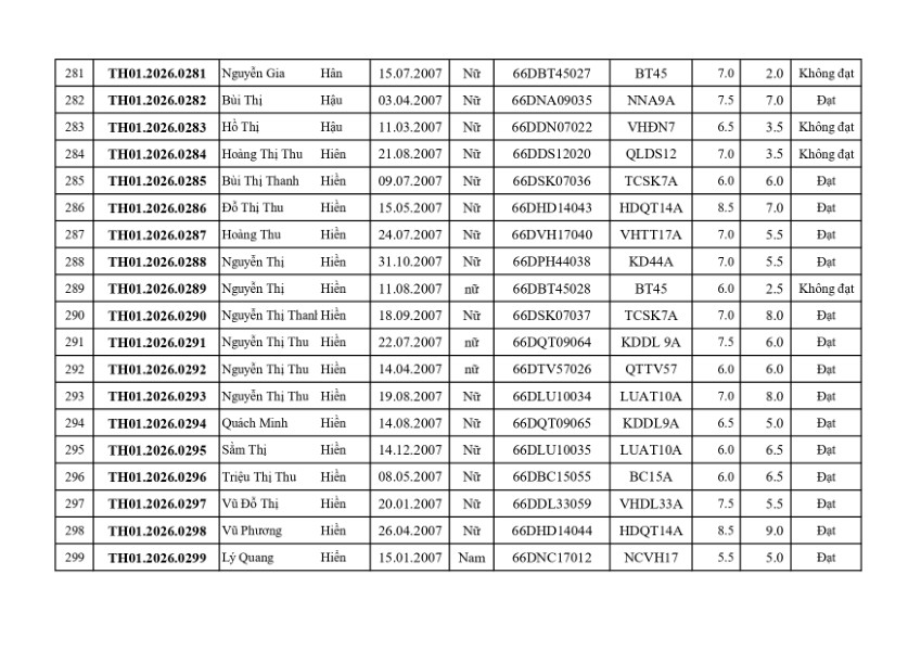
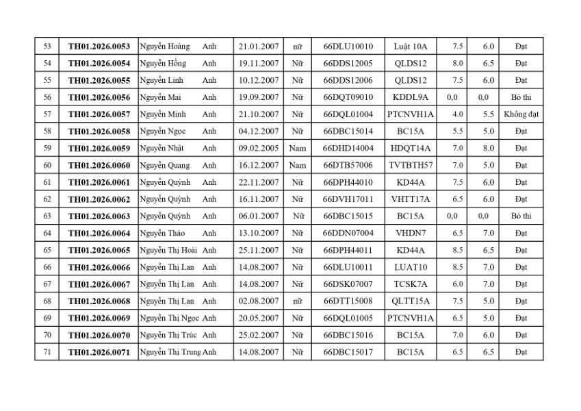
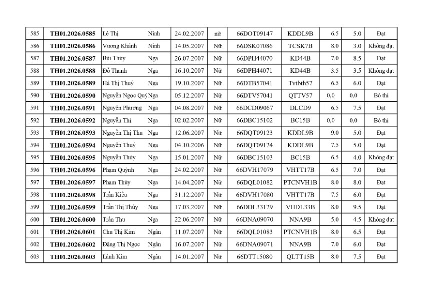
Thông báo điểm thi đánh giá năng lực ngoại ngữ (Tiếng Anh) đợt thi ngày 21/12/2025 05.02.2026 trong Thông báo
Thông báo kết quả thi ứng dụng công nghệ thông tin cơ bản đợt thi ngày 28/12/2025 05.02.2026 trong Thông báo